400-821-0778
产品
  • 产品
  • 品牌
  • 解决方案
  • 新闻
首页 - 解决方案
氨气程序升温脱附测试 (NH₃-TPD) — 脱附能和吸附热的研究

2024-06-24

返回列表

简介

酸性分子筛的催化活性极大却决于表面的酸性位点,所以了解这些酸性位点的强度和数量至关重要。量热法和氨气TPD已经用于确定这些性质。然而,量热法测试需要技巧,而且很难确定催化剂样品的前处理温度。通过使用商用的自动程序升温脱附仪器很容易来确定酸性催化剂中酸性位点的强度,数量以及吸附热。


程序升温脱附(TPD) 最早由Amemiya和Cvetanovic于1963年提出1)。在程序升温脱附中,吸附剂在预定条件下吸附到平衡状态,然后温度上升到恒定状态。当热能超过了与预吸附分子的吸附能,分子就开始解吸了。从表面脱附的分子被载气带走,并通过检测器进行定量。可以选用热导池检测器(TCD)或者质谱(MS)作为检测器。Amemiya 等人发现如果表面吸附是均匀的,再吸附和扩散可以忽略不计,升温速率和活化能可以用下列方程表示2)


图片

Tp 峰值脱附温度 (K)

β升温速率 (K/min.)

Ed 脱附能(kJ/mol)

A0 吸附量

C 常数 (与脱附速率有关)


当升温速率改变时,峰值解吸温度也会随之改变 。

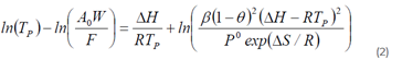
如果用 log(Tp2/β) 对 1/Tp进行绘图, 可以得到线性关系,脱附能 (Ed) 可以通过斜率得到。对于再吸附的情况,吸附热(ΔH)可以通过同样的线性关系得到2)。Murakami和 Niwa 在Amemiya 等人的不充分方程基础上提出下列方程关系:


图片

W 样品质量(g)

F 实际流速 (ml/min.)

θ 峰值温度下的覆盖率

P0 : 标准大气压


由方程可知,峰值温度不仅受接触时间的影响,还受酸量的影响。ln(Tp)-ln(A0W/F) 对1/Tp 线性作图,可以用斜率来计算吸附热 (ΔH).

 

实验

1. 在 TPD 实验中, JRC-Z5-25H 的脱附能 (Ed) 通过改变升温速率和Amemeya方程式得到。

 

仪器:BELCAT II

样品:JRC-Z5-25H(MFI)

样品重量:0.04949 g (所有测量使用同样的样品)

载气流量:He 30sccm

 

前处理程序

图片

测试程序

图片

2. JRC-Z5-25H的吸附热(ΔH)通过改变TPD测试的样品重量和 Murakami-Tanba 公式计算得到。

 

仪器 : BELCAT II

样品 : JRC-Z5-25H (MFI)

样品重量: 0.03522g,0.03761g,0.04293g,0.06825 g (测一次测试使用的样品重量)

载气流量 : He 30sccm

 

前处理程序

图片

测试程序

图片

结果

1. 用Amemiya方程计算脱附能的结果

图片

Figure 1. 通过改变升温速率的JRC-Z5-25H的TPD曲线


Table 1 TPD数据

图片


图片

Figure 2: Amemiya 曲线

 

Ed = 8272.27 × 2.303 × R (R=8.31 J/mol)

脱附能 (Ed) = 158 kJ/mol

 

2. 通过Murakami-Tanwa 方程计算吸附热结果

图片

Fig. 3 Murakami-Niwa 曲线


Table 2 数据结果

图片

ΔH = 15309.0578 × R R=8.31 J/mol

吸附热 (ΔH) = 127 kJ/mol



参考文献:

1) Amenomiya, Y. and Cvetanovic, R.J., J. Phys. Chem. 67, 144 (1963).

2) Cvetanovic, R.J. and Amenomiya, Y., Advan. Catal. 17, 103 (1967).

3) Sawa, M., Niwa, M., and Murakami, Y., Zeolites. 10, 307 (1990).

4) Masakazu Iwamoto, "Characterization of Solid Catalysts", Catalysis Course 3, 152, Kodansha (1985).

5) Niwa, Catalysis, 33, 249 (1991).


点击下载

请输入以下信息
手机号
* 发送验证码
验证码
*
姓名
*
邮箱
*
公司
*
感兴趣的产品
*

Delivering Growth – in Asia and Beyond.

  • 首页
  • 在线留言
  • 联系电话
  • 返回顶部
  • Think Asia. Think DKSH.